
JustLend DAO完成首轮JST回购
作者:Robin Linux 译者:登链社区翻译小组
摘要
BitVM 是一种计算范式,用于表达图灵完备的比特币合约。这不需要对比特币网络的共识规则进行任何更改。与在比特币上执行计算不同,它们仅仅是被验证,类似于乐观 Rollups。证明者声明某个给定的函数对某些特定的输入求值得到了特定的输出。如果该声明是错误的,那么验证者可以进行简明的欺诈证明并惩罚证明者。使用这种机制,任何可计算的函数都可以在比特币上进行验证。
在 Taproot 地址上承诺一个大型程序需要大量的链外计算和通信,然而其在链上的占用空间很小。只要双方合作,他们可以进行任意复杂的、有状态的链外计算,而不在链上留下任何痕迹。只有在争议的情况下才需要在链上执行。
1 简介
按设计,比特币的智能合约功能被限制为基本操作,如签名、时间锁和哈希锁。BitVM 为更具表达力的比特币合约和链外计算创造了一个新的设计空间。潜在的应用包括象棋、围棋或扑克等游戏,以及比特币合约中有效性证明的验证。此外,可能还可以将比特币桥接到外部链、构建预测市场或模拟新的操作码。
这里提出的模型的主要缺点是它仅适用于有两方的设定,即证明者和验证者。另一个限制是,对于证明者和验证者,需要大量的链外计算和通信来执行程序。然而,这些问题似乎有望通过进一步的研究得到解决。在这项工作中,我们仅关注两方 BitVM 的关键组成部分。
2 架构
与乐观 Rollups 1[2] 和 MATT 提案(Merkelize All The Things)2[3] 类似,我们的系统基于欺诈证明和挑战-响应协议。然而,BitVM 不需要对比特币的共识规则进行任何更改。底层的原语相对简单。它主要基于哈希锁、时间锁和大 Taproot 树。
证明者逐位地将程序提交到链上,但是在链上验证所有内容将会消耗过多的计算资源,因此验证者会执行一系列精心设计的挑战来简洁地证伪证明者的错误主张。证明者和验证者共同预签名一系列挑战-响应交易,以便日后解决任何争议。
该模型旨在简单地说明这种方法允许在比特币上进行通用计算。对于实际应用,我们应考虑更高效的模型。
协议很简单:首先,证明者和验证者将程序编译成一个巨大的二进制电路。证明者将该电路提交到一个 Taproot 地址中,该地址的每个逻辑门都有一个叶子脚本。此外,他们预签名一系列交易,为证明者和验证者之间的挑战-响应游戏提供支持。现在,他们已经交换了所有所需的数据,因此可以将他们的链上存款转入生成的 Taproot 地址。
这将激活合约,他们可以开始交换链下数据,以触发电路中的状态变化。如果证明者提出了任何错误的声明,验证者可以拿走他们的存款。这确保了攻击者总是会损失他们的存款。
3 位值承诺(Bit Value Commitment)
位值承诺是该系统中最基本的组件。它允许证明者将特定位的值设置为“0”或“1”。特别地,它允许证明者在不同的脚本和 UTXO 之间设置变量的值。这是关键的,因为它通过将比特币的虚拟机执行时间分割成多个交易来扩展执行运行时。
承诺包含两个哈希值,hash0 和 hasp。在稍后的某个时刻,证明者通过揭示 preimage0(hash0 的原像)将位的值设置为“0”,或者通过揭示 preimage1(hasp 的原像)将位的值设置为“1”。如果在某个时刻,他们同时揭示了 preimage0 和 preimage1,那么验证者可以将它们用作欺诈证明,并拿走证明者的存款。这被称为矛盾陈述。能够惩罚矛盾陈述是使承诺具有约束力的原因-它是一种“基于激励的承诺”。
将位值承诺与时间锁结合,使验证者能够强制证明者在给定的时间范围内决定特定位的值。

图 1:1 位承诺的具体实现。为了解锁此脚本,证明者必须揭示 hash0 或 hasp 的原像之一。在此示例执行中,证明者揭示了 hasp,并将位的值设置为“1”。我们可以复制此承诺以在不同的脚本中强制执行特定的值。
为了简化起见,从这里开始,我们假设有一个名为 OP BITCOMMITMENT 的操作码,它是上述脚本的简写。该操作码消耗两个哈希和一个哈希的原像。根据与原像匹配的哈希,它将一个位值放在堆栈上。
4 逻辑门承诺
任何可计算的函数都可以表示为布尔电路。NAND 门是一种通用逻辑门,因此任何布尔函数都可以由它们组成。为了保持我们的模型简单,我们展示了我们的方法如何适用于简单的 NAND 门。此外,我们还展示了如何任意组合门。这一切都证明了 BitVM 可以表示任何电路。
NAND 门承诺的实现很简单。它包含两个表示两个输入的位承诺和一个表示输出的位承诺。脚本计算两个输入的 NAND 值,以确保它与承诺的输出位匹配。

图 2:NAND 操作的逻辑门承诺。执行此脚本需要揭示位承诺 A、B 和 C 的值,使得 A NAND B = C 成立。
(在这里,为了简化起见,我们假设存在一个名为 OP NAND 的操作码。实际上,它并不存在,但可以使用 OP BOOLAND 和 OP NOT 轻松实现。)
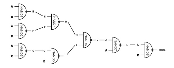
5 二进制电路承诺
在前一节中,我们定义了 NAND 门承诺。我们可以通过组合门承诺来表示任何电路。执行的每一步都在 Tapleaf 中进行承诺。它们都被合并到同一个 Taproot 地址中,以便证明者可以执行电路中的任何门。执行门需要证明者打开相应的门承诺,并为其输入和输出位设置值。
Taptree 可能会变得庞大,并且拥有十亿个 Tapleaf 脚本,但其链上占用空间很小。

免责声明:数字资产交易涉及重大风险,本资料不应作为投资决策依据,亦不应被解释为从事投资交易的建议。请确保充分了解所涉及的风险并谨慎投资。OKEx学院仅提供信息参考,不构成任何投资建议,用户一切投资行为与本站无关。

和全球数字资产投资者交流讨论
扫码加入OKEx社群
industry-frontier