
浅析新 L1 公链 XION:Web3
前言
书接上回,我们发布了《用多因子策略构建强大的加密资产投资组合》系列文章的第一篇 - 理论基础篇,本篇是第二篇 - 数据预处理篇。
在计算因子数据前/后,以及测试单因子的有效性之前,都需要对相关数据进行处理。具体的数据预处理涉及重复值、异常值/缺失值/极端值、标准化和数据频率的处理。
一、重复值
数据相关定义:
键(Key):表示一个独一无二的索引。eg. 对于一份有全部 token 所有日期的数据,键是“token_id/contract_address - 日期”
值(Value):被键索引的对象就称之为“值”。
诊断重复值的首先需要理解数据“应当”是什么样子。通常数据的形式有:
时间序列数据(Time Series)。键是“时间”。eg.单个 token 5 年的价格数据
横截面数据(Cross Section)。键是“个体”。eg.2023.11.01 当日 crypto 市场所有 token 的价格数据
面板数据(Panel)。键是“个体-时间”的组合。eg.从 2019.01.01-2023.11.01 四年所有 token 的价格数据。
原则:确定了数据的索引(键),就能知道数据应该在什么层面没有重复值。
检查方式:
pd.DataFrame.duplicated(subset=[key 1, key 2, ...])
检查重复值的数量:pd.DataFrame.duplicated(subset=[key 1, key 2, ...]).sum()
抽样看重复的样本:df[df.duplicated(subset=[...])].sample()找到样本后,再用 df.loc 选出该索引对应的全部重复样本
pd.merge(df 1, df 2, on=[key 1, key 2, ...], indicator=True, validate=1: 1)
在横向合并的函数中,加入 indicator 参数,会生成_merge 字段,对其使用 dfm[_merge].value_counts()可以检查合并后不同来源的样本数量
加入 validate 参数,可以检验合并的数据集中索引是否如预期一般(1 to 1、 1 to many 或 many to many,其中最后一种情况其实等于不需要验证)。如果与预期不符,合并过程会报错并中止执行。
二、异常值/缺失值/极端值
产生异常值的常见原因:
极端情况。比如 token 价格 0.000001 $或市值仅 50 万美元的 token,随便变动一点,就会有数十倍的回报率。
数据特性。比如 token 价格数据从 2020 年 1 月 1 日开始下载,那么自然无法计算出 2020 年 1 月 1 日的回报率数据,因为没有前一日的收盘价。
数据错误。数据提供商难免会犯错,比如将 12 元每 token 记录成 1.2 元每 token。
针对异常值和缺失值处理原则:
删除。对于无法合理更正或修正的异常值,可以考虑删除。
替换。通常用于对极端值的处理,比如缩尾(Winsorizing)或取对数(不常用)。
填充。对于缺失值也可以考虑以合理的方式填充,常见的方式包括均值(或移动平均)、插值(Interpolation)、填 0 df.fillna( 0)、向前 df.fillna(ffill)/向后填充 df.fillna(bfill)等,要考虑填充所依赖的假设是否合。
机器学习慎用向后填充,有 Look-ahead bias 的风险
针对极端值的处理方法:
1.百分位法。
通过将顺序从小到大排列,将超过最小和最大比例的数据替换为临界的数据。对于历史数据较丰富的数据,该方法相对粗略,不太适用,强行删除固定比例的数据可能造成一定比例的损失。
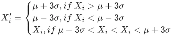
2.3σ / 三倍标准差法

对数据范围内的所有因子做出如下调整:

该方法不足在于,量化领域常用的数据如股票价格、token 价格常呈现尖峰厚尾分布,并不符合正态分布的假设,在该情况下采用 3 σ方法将有大量数据错误地被识别为异常值。
3.绝对值差中位数法(Median Absolute Deviation, MAD)
该方法基于中位数和绝对偏差,使处理后的数据对极端值或异常值没那么敏感。比基于均值和标准差的方法更稳健。

# 处理因子数据极端值情况
class Extreme(object):
def __init__(s, ini_data):
s.ini_data = ini_data
免责声明:数字资产交易涉及重大风险,本资料不应作为投资决策依据,亦不应被解释为从事投资交易的建议。请确保充分了解所涉及的风险并谨慎投资。OKEx学院仅提供信息参考,不构成任何投资建议,用户一切投资行为与本站无关。

和全球数字资产投资者交流讨论
扫码加入OKEx社群
industry-frontier