
JustLend DAO完成首轮JST回购
原文来源:AIGC开放社区
图片来源:由无界 AI生成
东京大学的研究人员将GPT-4模型,集成在实体机器人Alter3中,可将文本、语言直接转化成机器人动作,例如,做一个自拍动作;装一个“鬼样”;做一个摇滚音乐动作等,就连微笑、眨眼这样的面部表情动作也没问题。
在GPT-4的帮助下,Alter3建立了语言反馈系统,可通过语言指令优化机器人的运动,而无需修改任何代码,在传统机器人领域是很难做不到。
也就是说,Alter3突破了传统的硬件编码限制,可以实现知识存储、动作优化和0样本学习等。在不需要为机器人的每个身体部位进行编程的情况下,可自动生成新的动作序列,完成自我迭代。
简单来说,可以把GPT-4看成是Alter3的“大脑”。大语言模型的海量知识的能力可以使Alter3,完成很多之前需要特定代码才能完成的动作。怎么感觉有点像施瓦辛格的“终结者”呢?
论文地址:https://arxiv.org/abs/2312.06571
Alter3是Alter系列的第3代实体机器人,整体结构采用前后分离式设计。主控制部分包含43个微调关节和马达,可实现细腻流畅的各部位动作控制。
Alter3采用了空气驱动技术来控制每个关节来执行指定运动,刷新率为100—150毫秒。
相比电动马达,空气驱动能保证动作流畅平稳,响应更快速。同时也提高了可靠性和维修保养便利性。例如,当马达出问题时,只需更换单独部件而不影响整体性能。
表情部分对应人脸部位,包括眼睛、眉毛、嘴巴等,也由马达驱动实现丰富的面部表情变化。面部组件可以单独拆装,实现灵活配置。
Alter3视觉系统采用4个高清摄像头,分别安装在头部两侧和眼部内部。头部摄像头主要用于人体姿态跟踪和面部识别分析等任务。
眼部内置摄像头可以模拟眼神等动作,为Alter3提供了与人类视觉系统等效的感知能力。
Alter3通过与GPT-4语言模型的结合,能够根据给定的文本描述自主生成动作,同时GPT-4承担了动作描述生成和代码映射转换两大重要功能。
在第一阶段, GPT-4能够根据简短的语言提示,产生丰富生动的动作描述:
1)GPT-4会描述出各种面部表情和身体语言;2)各动作应独立成段,流畅连贯;3)根据人体关节可行性给出具体的执行细节。
GPT-4可以生成动作细节和丰富的情感表达,为下一步代码转化提供了重要基础。
在第二阶段,GPT-4会将提示文本语言转换为,控制Alter3机器人实际动作的Python代码。
GPT-4采用类似写论文的结构性表达,首先导入Alter3模块,然后针对每个动作描述一步一步写出设置各关节值的Python代码。
例如,轴1值设为255,表示愤怒表情等。Alter3接收到转换后的代码后,可以执行具体的动作。
简单来说,Alter3借助了GPT-4强大的编程、转换、理解、存储等智能化能力,极大节省了开发时间和成本,同时将这些能力注入到Alter3中。
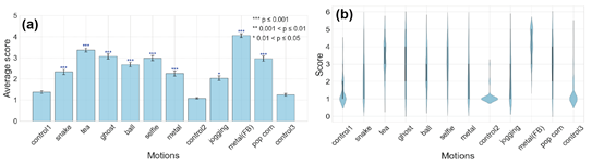
为了测试GPT-4在Alter3上发挥的能力,研究人员对9个不同机器人动作的视频进行了评估,每个视频由100多名参与者按5分制给出评分。
结果显示,GPT-4生成的动作视频评分,显著高于原生动作视频,这说明GPT-4生成的动作能真实还原人体动作细节。
此外,研究人员通过反馈强化对Alter3生成的动作进行微调,达到了更流畅的效果。
同时,研究人员采取了模拟社会大脑理论中的多个代理人模式,让Alter3与6种不同人格进行对话,以增强其与人交流能力。
免责声明:数字资产交易涉及重大风险,本资料不应作为投资决策依据,亦不应被解释为从事投资交易的建议。请确保充分了解所涉及的风险并谨慎投资。OKEx学院仅提供信息参考,不构成任何投资建议,用户一切投资行为与本站无关。

和全球数字资产投资者交流讨论
扫码加入OKEx社群
industry-frontier