
JustLend DAO完成首轮JST回购
作者 :Katrin Assenmacher, Massimo Ferrari Minesso, Arnaud Mehl and Maria Sole Pagliari;来源 :ECB;编译 :程旭阳,人大金融科技研究所
2024年2月,欧洲中央银行(ECB)发布了“Managing the transition to central bank digital currency”一文,本文作者建立了一个考虑金融摩擦的两国DSGE模型,研究了从没有央行数字货币(CBDC)的稳态到母国发行央行数字货币(CBDC)的稳态过渡的过程。CBDC为家庭提供了一种流动性强、方便且无存储成本的支付方式,从而降低了银行在存款方面的市场力量。稳定状态下,CBDC显著提高了社会福利,并且不脱媒银行业。但向新稳态过渡期间,宏观经济的合理波动性会增加。CBDC和货币的需求超发,挤出了银行存款,导致投资、消费和产出的初步下降。作者使用带有偶尔约束的非线性解决方法来探索缓和政策如何减少过渡期间的波动性,对比了对非居民的限制、约束上限、分层报酬和央行资产购买的效果。约束上限在过渡期间最有效地减少了脱媒和产出损失,其最优水平约为稳态CBDC需求的40%。中国人民大学金融科技研究所对研究核心部分进行了编译。
非技术性摘要
大量学术文献研究了CBDC作为一种货币工具在新的均衡状态下的传播方式。在本文中,作者从不同的角度看待这个问题,研究了CBDC从最初推出的那一刻到它作为支付工具牢固确立的长期中的宏观经济影响。
作者主要关注的是,在过渡阶段,有哪些政策可以帮助平衡以下两方面的权衡:一方面是由于对CBDC的需求过剩而对宏观经济和金融稳定造成的风险,另一方面是由于CBDC的需求受到过度限制,导致家庭可用的货币工具过度减少而造成的福利损失。
作者建立了一个考虑金融摩擦的两国DSGE模型,研究从没有CBDC的稳态到母国发行CBDC的过渡过程。家庭需要流动性来为交易融资,因此他们以现金、银行存款或CBDC的形式持有资金。存款是有报酬的,而现金和CBDC则没有。与存款和CBDC不同,现金需要支付存储成本。家庭看重CBDC提供了多种可用的货币工具,但其边际效用随着持有的每种货币工具的数量而减少。作者假设银行在存款市场具有垄断性的市场力量。作为垄断者,银行设定的存款利率低于贷款利率,因为存款提供了流动性服务。CBDC推出后,家庭可用的货币工具增加,为了遏制存款外流,银行会提高存款利率。因此,CBDC的可用性降低了银行的市场力量,并可能导致存款的增加或减少。
比较有和没有CDBC的均衡,作者发现当CBDC可用时,存款利率和存款都会增加,国内和国外的产出都略有增加,福利也会改善,不过对国外经济的影响更为有限。接下来,作者对模型进行非线性求解,研究两种稳态之间的过渡。对于低稳态下的CBDC需求(在作者的模拟中占稳态产出的5%),引入CBDC对宏观经济没有实质性影响。对于高稳态下的CBDC需求(在作者的模拟中占稳态产出的30%),向新稳态的过渡表现出CBDC、现金和存款大幅波动的特征,从而导致贷款利率、投资和消费的波动。在短期内,CBDC和现金的需求激增,超过了新的稳态水平,挤出银行存款,进而引发投资和消费的下降。产出在最初阶段会有所减少,而在初期的波动性消退之后,产出将逐渐回升至新的稳态水平。将该模型在中应用,并在两种稳态需求校准下进行估算,粗略计算得出,每人约3000欧元的限制能够有效地控制过度需求。
作者通过几种不同的工具探究了在过渡期如何降低波动性:首先,设定软性和硬性的持有限制;其次,实施一种分层的CBDC报酬方案,对超过特定限额的CBDC持有量施加负利率以惩罚“过度”持有;第三,对非居民的CBDC持有量施加限制,这些限制要么阻止非居民持有CBDC,要么导致非居民在CBDC跨境交易中面临更高的成本。此外,作者还研究了央行购买私营部门资产以平衡CBDC的发行是否有效。最终发现,约束性上限在减少过渡期间的去中介化和产出损失以及最小化国际溢出效应方面最为有效,其最优水平——即最小化福利损失——大约是稳态CBDC需求的40%。
1、引言
参与国际清算银行最近一项调查的央行中,超过90%的央行表示他们参与了CBDC工作。包括中国人民银行在内的主要央行正在认真研究这一问题:中国人民银行正在进行电子人民币试点,已有2亿多测试用户;英格兰银行在2023年夏季强调未来可能需要数字英镑;欧洲央行在2023年10月启动了为期两年的准备阶段,为可能推出的数字欧元做准备。
大量学术文献已经研究了CBDC对银行、更广泛的金融部门和其他经济部门的各种潜在影响,以及对国际溢出效应的影响。这些论文都关注CBDC在稳定状态下对经济的影响。在本文中,作者从不同的角度来看待这个问题,并研究CBDC在向稳态过渡过程中的宏观经济影响。
作者提出这个问题的动机是,CBDC作为一种额外的(还不存在)支付手段具有新颖性。由于CBDC的采用程度尚不确定,因此其推出时和向新平衡过渡期间的潜在影响具有很大的不确定性。对CBDC潜在需求的估计范围很广。虽然在估计范围的下限可能不会对银行造成重大挑战,但在上限可能会扰乱金融部门,尤其是在快速引入的情况下(Bank of Canada等,2021;Bank of England,2023)。以银行存款取代CBDC持有量可能会导致银行融资成本上升,从而对信贷、投资产生潜在的不利影响,最终对整个经济产生不利影响。
出于这个原因,已经提出了限制CBDC需求的不同机制,以遏制由于引入CBDC而对金融稳定造成的迫在眉睫的风险,例如Bindseil(2020)讨论了控制CBDC数量的持有上限和分层报酬计划。重要的是,在关于建立数字欧元的法规提案中也提到了这些措施,该提案预计“欧洲中央银行应开发工具以限制数字欧元作为价值储存的使用,并决定其参数和使用方式”。Bank of England(2023)明确考虑在数字英镑推出后的过渡期内限制其持有量,以限制银行存款外流,并允许英国当局更多地了解其影响。
因此,如何在向稳定状态过渡的过程中优化管理CBDC仍然是一个悬而未决的问题。在典型的宏观经济设置中,任何将CBDC持有量保持在最佳稳态值以下的限制都会降低福利。但是,在从没有CBDC的稳态过渡到有CBDC的稳定期间,可能有理由施加限制,特别是过渡期间可能涉及CBDC需求的严重超调并增加宏观经济波动。国际联系是另一个复杂因素:尽管中央银行正在为国内使用开发零售型CBDC,但在例如不稳定经济体的居民可能会决定持有外国CBDC作为价值储存手段,这可能带来潜在的跨境溢出效应和回溢效应。
继Andolfatto(2021)和Niepelt(2023)之后,本文假设银行在存款市场上具有垄断性市场力量,但在贷款市场上充当价格接受者,在贷款市场中,监控成本会产生金融加速器机制,如Bernanke等人(1999)所述。作为垄断者,银行设定的存款低于最终贷款利率,家庭接受这一利率是因为存款提供了流动性服务。为了在引入CBDC时控制存款流出,并且随着家庭可用的货币工具的扩大,银行提高了存款利率。因此,CBDC的可用性减少了银行的市场力量,可能导致存款的增加或减少。
2、模型
该模型拓展了Ferrari Minesso等人(2022)的研究,加入了金融摩擦、偶尔约束的条件,并采用非线性解决方法研究从没有CBDC的稳态到有CBDC的稳态的过渡动态。图1从本国经济的角度提供了模型设置的概览,并描绘了模型中不同代理人之间的相互作用。

图1:模型概览
有两个对应的经济体(本国和外国),它们进行商品和金融资产(债券)的贸易。债券市场是不完全的,因此无担保利息平价(UIP)不成立。消费者向企业提供劳动力,储蓄并消费最终的总商品,他们还需要流动资产来购买最终商品。家庭可以投资三种金融资产:货币、债券和存款。货币可用于支付,但无偿,且存储成本线性递增。债券也在国际上交易,但有偿,且不能用于支付。存款有偿,可用于支付,尽管相对于现金,它们提供的流动性服务程度可能不尽相同。由于存款为家庭提供了流动性服务,银行可以从发行存款中获取租金,因此存款的报酬低于无风险利率,如Andolfatto(2021)所言。非线性求解模型的计算具有复杂性,因此依靠恒定替代弹性(CES)聚合器来定义对支付工具的需求,并保持其可操作性。例如,Ferrari Minesso等人(2022)和Assenmacher等人(2023)展示了流动性需求如何通过对匿名性或分散市场的偏好而得到微观资助。
金融领域由生命周期有限的银行组成,它们结合净资产和存款来为企业提供贷款。假设存在一种类似于Bernanke等人(1999)和Christensen和Dib(2008)所描述的“金融加速器”机制的金融摩擦。具体来说,假设银行无法无成本地观察到企业投资项目的结果。由于这种摩擦,高杠杆的企业家有动机误报其公司的业绩并违约债务。因此,银行对高杠杆公司收取更高的利率,这使得信贷利差相对于无风险利率呈现出逆周期性。如上所述,银行在设定存款利率方面也拥有市场力量,存款利率低于贷款利率,因为存款为家庭提供了流动性服务。
经济的生产部门由三种不同类型的企业组成:资本品生产商、中间品生产商和零售商。资本品生产商被设定为一系列相同的企业,它们使用未折旧的资本和一部分最终商品来生产新的资本品。企业家结合自己的净资产和银行贷款来购买新的资本品,这些资本品与劳动力一起用于生产最终的无差异商品。企业家积累利润,但在每个时期都有一个外生的概率退出市场。最终商品由零售商打包并销售给国内外消费者。采用Calvo定价模型,并假设最终商品价格并非完全灵活。该模型通过一个决定公共支出的公共部门以及一个使用泰勒规则设定名义利率的中央银行来闭合。
重要的是,本文假设除了现金之外,本国的公共部门还可以发行CBDC。CBDC是中央银行的负债,家庭可以直接接触并用于支付。在标准情况下,CBDC不支付利息。通过引入CBDC作为另一种支付工具,家庭的流动性约束得到放宽,银行从存款中提取的租金减少。此外,CBDC可以在国家之间交易,但需遵守以下将要讨论的某些限制。它是一种数字支付工具,与现金不同,不受存储成本的影响。根据Brunnermeier和Niepelt(2019)的观点,本文假设CBDC的发行是“货币政策中性”的——即管理方式不会改变经济中的信贷分配。这样,由CBDC发行产生的总产出和福利效应不受中央银行扩张资产负债表方式的影响,而是由经济基本面驱动,如生产要素的边际生产力、总需求和资本的可用性。Adalid等人(2022)展示了这一假设与当前欧洲体系负债的组成是一致的。
接下来,本文将从本国经济的角度介绍问题。
略去本文的模型构建部分,详情见原文。
3、模拟
在本节中,作者介绍了无CDBC与有CDBC的稳态效应以及两种稳态的过渡过程。为了考虑两种稳态之间转换的非线性以及缓和策略的存在,作者使用全局求解方法来计算转换路径。研究这一过渡至关重要,因为从长远来看(即在新的稳态平衡中),拥有CDBC可能是有效的,而过渡期对CBDC的过度需求可能会使银行系统失去中介作用,从而在短期内导致信贷、产出和福利的下降。
该模型参照了Ferrari Minesso等人(2022)、Christiano等人(2014)以及Gertler和Karadi(2011)的做法。折扣系数满足一个时期对应于一个季度。外国的参数是根据美国的数据校准的,而母国的参数是基于欧元区最大经济体德国的数据设定的(Eichenbaum等,2021)。
3.1稳态效应
首先考虑在没有供应限制的情况下发布CBDC与没有CBDC的稳态相比如何改变新的稳态。假设CDBC没有报酬,货币政策中性,外国家庭可以使用,跨境交易成本很小。
图2展示了CBDC发行后,在随机稳态下的变化百分比。在本国经济(左图)中,产出基本保持稳定,因为在考虑的配置中,CBDC并未提高生产部门的资本和劳动生产率,这最终决定了稳态产出。福利略有增加,大约为稳态消费的0.3%,这一点可以通过消费等价度量来捕捉。CBDC的金融影响更为明显。CBDC扩大了支付工具的选择范围,吸引了家庭,现金需求下降了约4%。此外,银行在存款发行方面的垄断权力部分丧失,这一点受到了CBDC的挑战。结果,银行需要提高支付给存款的利率以保留或吸引客户,这大约上升了0.5个百分点。存款报酬的内生性增加使总存款增加了超过0.5%。从净值来看,这对银行是有利的,因为在密集边际(即更高的存款利率)上的损失被广阔边际(更多的存款允许发放更多贷款,进而导致更高利润)上的收益所抵消。因此,产出略有提高,因为更多的投资机会得到了融资。
在国外经济中,引入CBDC没有影响或仅有边际影响,但存款利率会提高。原因是,尽管在基准配置中CBDC不计息,但它会增加国外家庭受汇率估值影响的风险。因此,银行存款利率需要内生性地提高,才能使家庭在持有CBDC或银行存款之间做出选择。

图2:无CDBC和有CDBC的随机稳态之间的百分比变化
3.2 不采取缓和政策的过渡
3.2.1参照标准
首先考虑不采取缓和政策的过渡。图3报告了国内经济体(黑色实线)和国外经济体(灰色实线)从无CBDC的稳态到有CBDC的稳定状态之间的过渡路径。变量以偏离CBDC新稳态的百分比表示。如果新的稳态高于没有CDBC的稳态,则模拟的起点将是负的。发行后,国内经济对CBDC的需求超过了新稳态近2%。家庭用CBDC代替存款,从而减少了企业可获得的信贷,引发了本国经济投资和资本的下降。随着投资的下降,本国产出相对于新稳态收缩了约0.6%,从而降低了消费、价格和福利。本国央行的反应是降低利率,导致本币贬值。过渡期间的大部分产出损失相对较快地被吸收,而CBDC需求需要更多的时间才能调整到新的稳态水平;因此,消费、资本和银行存款需要更多的时间才能达到新的均衡。

图3:在没有缓和政策的情况下,过渡到新稳态
3.2.2 CBDC较低的稳态需求
CDBC的稳态需求是过渡时期的重要因素。如果稳定状态的需求较低,引入CDBC不会在过渡期内对存款需求产生实质性变化。因此,宏观经济的变化应该是有限的。
如图4所示,如果稳定状态下对CDBC的需求较低,则存款流出受到限制,为稳态水平的0.1%,而不是参照标准中的0.5%。较低的CBDC稳态需求也导致在过渡的初始阶段对CBDC的过剩需求较低,约为稳态水平的0.25%,而不是参照标准的2%。总而言之,CBDC对家庭货币工具选择的有限影响意味着信贷供应在转型期间不会受到实质性打击,因此投资保持更稳定,产出收缩可忽略不计(约为稳态水平的0.1%,或比参照标准低6倍)。

图4:CBDC需求占新稳态GDP的5%且没有缓和政策时,过渡到新稳态
3.2.3更高的资金存储成本
在稳态下,现金需求也可能改变不同支付工具之间的权衡。图5展示了在假设两国货币持有成本均为10%的情况下的过渡动态。在新的校准下,稳态时,货币需求下降了约35%,降至大约GDP的20%。相应地,对存款和CBDC的需求分别增加了1.5和1.2个百分点。产出损失和对CBDC的过度需求与参照标准模型保持一致。由于在这种校准下持有货币的成本更高,非货币资产的再平衡更为强烈。因此,家庭在过渡期间选择清算货币持有量,以获取其他类型的资产。然而,由于货币在家庭流动资产组合中所占份额相对较小,这种更强烈的资产再平衡与参照标准的产出效应相比变化不大。

图5:货币持有成本为10%且没有缓和政策时,过渡到新稳态
3.3持有限制的过渡
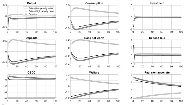
现在回到参照标准,并考虑引入两种不同的校准限制。首先,设定一个软限制,即在稳态下CBDC需求的水平,旨在防止过渡到新稳态期间出现过度反应。其次,设定一个更为严格的限制条件,即在稳态情况下,CBDC的发行量不得超过其需求的50%,以进一步控制需求。这一更严格的限制将持续到经济体接近新的稳态水平,即维持至第100个时期,之后将逐步放宽。
图6展示了软限制下的过渡情况。黑色实线代表当存在软限制(模拟为间歇性生效的约束)时,本国经济的过渡路径;而灰色点则表示不受限制的过渡情况。本质上,无论是否存在软限制,过渡到新稳态的过程都是相似的;如果有差异,这些差异也是微不足道的。
更严格的限制可以防止过渡期间的产出损失,如图7所示。银行存款需求不再受到CBDC过度需求的挤压,初始产出损失几乎降至零,同时存款量甚至有所增加。投资保持稳定,贷款供应也几乎未变,这得益于过渡期间家庭存款的增加抵消了银行净资产的减少。总体而言,更严格的约束限制了对CBDC的过度需求,防止了银行资金的无序撤离,并稳定了信贷供应。

图6:软性持有限制的情况下,过渡到新稳态

图7:持有限制设定为CBDC稳态需求的50%的情况下,过渡到新稳态
3.4分层报酬过渡
分层报酬方案,在过渡期间也能有效平滑经济变化——前提是惩罚性利率极高;参见图8。假设超过稳态需求50%的CBDC持有量将承担300个基点的负利率(而低于稳态需求50%的持有量则不支付报酬),这将导致过渡期间对CBDC的过度需求显著下降。因此,本国家庭较少用CBDC替代存款,这降低了银行脱媒以及对本国投资、消费和产出的负面影响。更高的惩罚性利率(500个基点)会使得这些效应更强,甚至具有扩张性。家庭对CBDC的厌恶感增强,以至于他们转向存款,这反过来又促进了投资和产出的增长。

图8:分层报酬下,过渡到新稳态
3.5央行资产负债表扩张的过渡
图9展示了中央银行购买银行贷款以平衡CBDC需求的过渡。这一政策相对于没有政策的参照标准,显著减少了产出损失,特别是通过私人投资收缩——大约减少了三分之二。中央银行的购买行为替代了银行业的贷款,维持了对私人部门的信贷供应,正如Brunnermeier和Niepelt(2019)所描述的那样。由于投资保持更稳定,产出的收缩较小,消费保持在较高水平(即相对于没有缓和政策的过渡,消费下降的幅度减少了三分之二)。因此,经济收缩较少,政策利率保持在高于基线情景的水平。然而,这种政策在防止银行中介作用下降方面的效果不如数量限制那么有效。这反映了一个事实,即中央银行的购买行为替代了银行对企业的信贷供应;然而,家庭继续清算存款,因为他们从过渡开始就几乎购买了与参照标准模拟相同的CBDC数量。

图9:随着央行资产负债表的扩张,过渡到新稳态
3.6外国人接触CBDC受到限制的过渡
在本国经济的过渡过程中,限制外国人接触CBDC并不能有效地使其更加平稳,无论是完全禁止外国人使用CBDC(如图10所示),还是通过提高跨境交易成本来部分限制外国人使用CBDC(如图11所示)。
原因在于,在这个模型中,限制外国人使用CBDC并不影响导致本国经济在过渡期间产出损失的关键机制——即在本国经济中,CBDC与本国存款的替代作用,这种替代超过了为了吸引或保留储户而内生地提高存款利率的情况,这一过程主要发生在本国经济内部,而且基本上不受外国的影响。

图10 :在外国人无法接触CBDC的情况下,过渡到新稳态

图11:在外国人部分可接触CBDC(跨境交易成本较高)的情况下,过渡到新稳态
3.7持有限额的最佳水平
上述结果表明,持有限制在过渡到新稳态期间管理CBDC的影响方面非常有效。这些限制在CBDC需求过强时可能带来的银行中介作用下降的风险与CBDC需求受到过多限制时家庭支付选项减少的福利损失之间进行了权衡。本节将确定在过渡期间相对于没有CBDC的均衡状态下最大化福利的持有限制水平。过渡期间的福利有两个组成部分。第一部分捕捉了过渡期间的福利收益或损失,第二部分定义了在没有其他冲击的情况下,新稳态下的(永久性)福利:

图12展示了在过渡期间,根据不同的持有限制水平(以稳态CBDC需求的百分比表示)相对于没有CBDC的稳态情况下,福利的百分比变化。当持有限制超过稳态CBDC需求的70%时,会产生轻微的净福利损失。这是因为在过渡期间宏观经济变量波动性增加导致的福利成本下(福利的第一部分)降仍然小于这一水平下CBDC可用性带来的福利收益(福利的第二部分)。当持有限制低于稳态CBDC需求的60%时,净福利收益变为正值,并在大约40%的水平达到最大。将这种设定应用于欧元区,结果表明每人约3000欧元的限制将有助于有效控制过度需求。

图12:不同CBDC持有限制水平下的福利收益(或损失)
4、结论
在本文中,作者开发了一个包含金融摩擦的两国动态随机一般均衡(DSGE)模型,以研究从没有CBDC的稳态向本国发行CBDC的稳态过渡的过程。研究发现,CBDC明确地提高了福利,同时没有使银行部门去中介化。在新的稳态中,由于银行内生地提高存款利率,存款量增加了。过渡期间的影响在很大程度上取决于不可观察的CBDC稳态需求。对于低稳态CBDC需求,引入CBDC在过渡期间没有实质性的宏观经济影响。但对于更高的稳态CBDC需求值,模拟指出过渡期间宏观经济波动性增加。对于数字欧元来说,这种更高的需求可能性较小,因为“瀑布”和“逆瀑布”功能将允许公民支付超过持有限制的购买,但研究发现政策也可以缓解这些影响。具有约束性的上限在过渡期间最有效地减少去中介化和产出损失,其最优水平约为稳态CBDC需求的40%。
这些发现对未来的研究具有启示意义。具体来说:过渡到一个稳定的CBDC均衡状态需要多长时间,届时其对经济的益处才能完全实现?什么因素决定了过渡期的长度?如何缩短过渡期?这些都是未来研究中值得探讨的问题,以便为中央银行在考虑是否发行CBDC时提供信息,同时也为更广泛的公众提供参考。
免责声明:数字资产交易涉及重大风险,本资料不应作为投资决策依据,亦不应被解释为从事投资交易的建议。请确保充分了解所涉及的风险并谨慎投资。OKEx学院仅提供信息参考,不构成任何投资建议,用户一切投资行为与本站无关。

和全球数字资产投资者交流讨论
扫码加入OKEx社群
industry-frontier