
JustLend DAO完成首轮JST回购
作者:Gerry Wang @ Arweave Oasis,原文首发于 @ArweaveOasis 推特
本文内容将会继续把 #Arweave 第 17 版白皮书中的第四节「协议机构」给解读完。
如何从网络参数中测算分区总数?
通过使用前文描述的方程表达式和 Arweave 网络提供的部分信息,我们能够计算出网络正在存储的副本总数。每当矿工挖掘出一个新区块时,我们能够判断该区块的解决方案哈希是来自第一回溯范围还是第二回溯范围的 SPoA 挑战。在一个存储了完整副本的网络中,这个比例基本上是 1:1。但是,如果矿工存储的是不完全的数据分区或者是重复的分区(从而受到效率上的惩罚),那么这个比例会小于 1。
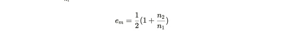
我们可以通过计算观察到的 SPoA 来源比例来计算每个分区的平均哈希值。假设在过去的 1,000 个区块中,有 n1 个第一范围 SPoA 和 n2 个第二范围 SPoA。这意味着平均副本完整性是 n2/n1,因此,每个分区的挖矿效率为:

公式注解:在这个公式中,如果 n1,n2 的数量比例为 1:1 的话,那么 e_m 就为 1。
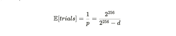
使用上述表达式,我们可以准确估计网络中分区的总数。当难度参数为 d 时,尝试的哈希数量的预期值由以下给出:

当每个分区的效率仅为 e_m 时,在 120 秒的时间内生成这么多尝试所需的预期分区数量为:

公式注解:E[trials] 是网络尝试哈希数量的总预期值,800 是一个分区每秒最大的哈希数量,乘以 e_m 是在该挖矿效率下的哈希数量,再乘以 120 是一个挖矿周期中(通常是 2 分钟左右)在该挖矿效率下的总哈希数量。
考虑到一个分区的大小为 3.6 TB,我们可以推导出网络的部署存储容量:

有关存储数据集和平均副本完整性的所有这些指标都可以从网络中观察到的值来自行计算出来。
优化数据路由的激励
激励矿工去构建完整副本来提高挖矿效率这个机制,会引发对协议有益的一系列激励机制。其中包括,为了在点对点网络中快速传输数据,会促使矿工开发出优化的数据路由解决方案,这是这类复杂且关键的挑战的有力驱动力。因为节点必须能够快速地将网络中的任何数据块进行传输,这就要求维持可以重复使用的路由能力,以便用户和其他矿工方便地访问数据,提高数据可用性。
对矿工来说,这个优化数据路由的新激励可能会催生出一个竞争环境,这与比特币矿工竞相开发更高效率的专用矿机硬件的情况类似。这种竞争将促进路由基础设施的创新,最终促成一个更加高效和强大的分布式网络。
带宽共享激励
Arweave 的挖矿激励机制对存储复制的另一个衍生效应是,矿工获取网络中数据的强烈必要性。这创造了多种数据访问的市场模型,包括:
Karma 和乐观的互惠原则:Arweave 网络中的节点共同参与了一个类似于 BitTorrent 的带宽共享游戏。在这个游戏中,节点之间互相共享数据。此外,节点偶尔也会随机共享数据,乐观地期待未来的回报。每个节点维护自己的对等方排名,无需报告这些排名是如何或为何确定的。这样的机制在 BitTorrent 这样的数据共享平台中获得过非常显著的成功,它曾一度占据全球约 27% 互联网流量。
物理磁盘分发的收益:节点运营商可以直接购买或出售存储了编织网络(weave)数据的物理磁盘,以换取金钱或其他形式的支付。对于带宽受限的矿工来说,鉴于运行 Arweave 节点所需的大量数据,这可能是一个更可取的选项。这种传输方式绕过了传统的数据包过滤器和防火墙。事实上,原始数据的下载的确是很多新进矿工需要逾越的门槛,随着全网数据的逐渐增多,这种形式的数据获取渠道会是更加便捷且高效的。
支付协议:节点还可以参与允许他们在访问数据时进行支付的协议和市场。Permaweb Payment Protocol(P3)就提供了这样一种方式,它使用支付通道激励 Arweave 内的多种服务(包括简单数据访问)。
可扩展性
免责声明:数字资产交易涉及重大风险,本资料不应作为投资决策依据,亦不应被解释为从事投资交易的建议。请确保充分了解所涉及的风险并谨慎投资。OKEx学院仅提供信息参考,不构成任何投资建议,用户一切投资行为与本站无关。

和全球数字资产投资者交流讨论
扫码加入OKEx社群
industry-frontier